Home
/ Penjumlahan Akar Didalam Akar - 3 Contoh Soal Penjumlahan Beberapa Akar Solusi Matematika - Rumus di atas dapat digunakan untuk menyelesaikan soal soal yang ada.
Penjumlahan Akar Didalam Akar - 3 Contoh Soal Penjumlahan Beberapa Akar Solusi Matematika - Rumus di atas dapat digunakan untuk menyelesaikan soal soal yang ada.
Penjumlahan Akar Didalam Akar - 3 Contoh Soal Penjumlahan Beberapa Akar Solusi Matematika - Rumus di atas dapat digunakan untuk menyelesaikan soal soal yang ada.. Add to my workbooks (0) add to google classroom add to microsoft teams share through whatsapp: 3√12 + 5√75 = 3√4×√3 + 5√25√3 = 6√3 + 25√3 = (6 + 25)√3 = 31√3 math is really easy if you want to learn about math. Posting pada rumus matematika smp ditag #contoh soal operasi aljabar pada bentuk akar, #contoh soal operasi bentuk akar, #penjumlahan akar aljabar, #penjumlahan akar didalam akar, #penjumlahan akar pangkat 3, #penjumlahan akar persamaan kuadrat, #penyederhanaan bentuk akar, #perkalian dan pembagian bentuk akar navigasi pos Bentuk sederhana dari akar matematika. Sementara untuk √25 bukanlah bentuk akar, sebab √25 = 5 (5 merupakan bilangan rasional) sama saja angka 25 bentuk akarnya yaitu √5.
Idealnya bentuk limit diatas bisa kita selesaikan dengan. Ini asik juga kalau pakai cara biasa, yang penting konsepnya benar Posting pada rumus matematika smp ditag #contoh soal operasi aljabar pada bentuk akar, #contoh soal operasi bentuk akar, #penjumlahan akar aljabar, #penjumlahan akar didalam akar, #penjumlahan akar pangkat 3, #penjumlahan akar persamaan kuadrat, #penyederhanaan bentuk akar, #perkalian dan pembagian bentuk akar navigasi pos Operasi penjumlahan dan pengurangan bentuk akar. Pengertian, tujuan, manfaat, dampak, metode dan contohnya lengkap
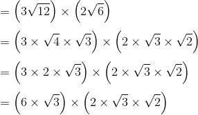
Rumus Akar Kuadrat Beserta Contoh Soalnya from rumus.co.id Bentuk akar senama merupakan bentuk akar yang mempunyai basis dan eksponen sama. Hitunglah hasil penjumlahan dari 3√12 + 5√75 ! Agar lebih paham silahkan simak contoh soal di bawah ini. Apabila akar akar x₁ dan x₂ dimiliki oleh persamaan kuadrat ax² + bx + c = 0, maka berlaku rumus penjumlahan dan perkalian seperti berikut: Akar didalam akar adalah bentuk ekspresi akar yang didalamnya memuat bentuk akar pula. L a t e x lim x →∼ a x 2 + b x + c − p x 2 + q x + r. 3√12 + 5√75 = 3√4×√3 + 5√25√3 = 6√3 + 25√3 = (6 + 25)√3 = 31√3 math is really easy if you want to learn about math. Sementara untuk √25 bukanlah bentuk akar, sebab √25 = 5 (5 merupakan bilangan rasional) sama saja angka 25 bentuk akarnya yaitu √5.
Untuk menyederhanakan suku di dalam akar kuadrat, coba faktorkan sehingga setidaknya ada satu suku yang merupakan angka kuadrat sempurna, misalnya 25 (5 x 5) atau 9 (3 x 3).
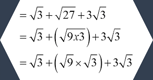
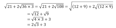
√a × √b = √ab. Hitunglah hasil penjumlahan dari 3√12 + 5√75 ! Beberapa contoh bilangan irasional di dalam bentuk akar yakni √2, √6, √7, √11 dan lain sebagainya. L a t e x lim x →∼ a x 2 + b x + c − p x 2 + q x + r. Penjumlahan akar contoh soal 3 penjumlahan akar dan penyelesaianya soal 1) √3+√27+3√3= untuk soal seperti ini angka di dalam akar harus semuanya sama jadi masih ada akar 27 yang tidak sama jadi harus di perbaiki terlebih dahulu √3+√27+(√9x3) √3+(√(9×3))+3√3 √3+(√(9×√3) )+3√3 nah akar 27 sudah di rubah sehingga ada. Akar didalam akar adalah bentuk ekspresi akar yang didalamnya memuat bentuk akar pula. Cara mudah mencari nilai akar jika didalm akar terdapat akar atau akar dalam akar. Pada artikel kali ini, kita akan membahas cara menyelesaikan limit tak hingga pada bentuk akar yang di dalam akarnya berbentuk persamaan kuadrat. Idealnya bentuk limit diatas bisa kita selesaikan dengan. Cara menyelesaikan limit tak hingga bentuk akar. Tumbuhan yang mempunyai akar gantung contohnya yakni pohon beringin. Kalau sudah, akarkan angka kuadrat sempurna tersebut dan letakkan di luar akar kuadrat. Letak astronomis, geografis dan geologis indonesia lengkap;
Rumus di atas dapat digunakan untuk menyelesaikan soal soal yang ada. Oleh karena itu saya akan mengunakan istilah akar didalam akar sebgai terjemahan dari nested radicals. Bentuk sederhana dari akar matematika. √a × √b = √ab. Operasi penjumlahan dan pengurangan bentuk akar.
Bilangan Berpangkat Dan Bentuk Akar Anikasari from anikasari.files.wordpress.com Idealnya bentuk limit diatas bisa kita selesaikan dengan. Hitunglah hasil penjumlahan dari 3√12 + 5√75 ! Operasi penjumlahan ataupun pengurangan pada bentuk akar dapat dilakukan dengan syarat apabila bentuk akarnya senama. Untuk lebih memahami sifat tersebut, silahkan simak contoh. Kalau sudah, akarkan angka kuadrat sempurna tersebut dan letakkan di luar akar kuadrat. Rumus trik cepat mengerjakan limit tak hingga yang ke dua dapat digunakan soal limit tak hingga bentuk akar di mana fungsi dalam akar merupakan persamaan kuadrat. Berapakah hasil dari √10 × √2 ? Di dalam operasi matematika, kita mengenal beberapa operasi hitung seperti penjumlahan, pengurangan, perkalian dan pembagian.
Mengerjakan soal penjumlahan akar seperti ini, angka di dalam akar harus semuanya sama;
Namun, jika akar gantung telah mencapai tanah, maka akar gantung tersebut akan masuk ke dalam tanah serta berguna untuk menyerap air dan sebuh garam mineral di dalam tanah. Hitunglah hasil penjumlahan dari 3√12 + 5√75 ! Atau kita bisa menggunakan cara lain agar. Pengertian, tujuan, manfaat, dampak, metode dan contohnya lengkap Ini asik juga kalau pakai cara biasa, yang penting konsepnya benar Rumus di atas dapat digunakan untuk menyelesaikan soal soal yang ada. Berapakah hasil dari √10 × √2 ? √ab = √a × √b, dengan a dan b adalah bilangan rasional positif. Kalau sudah, akarkan angka kuadrat sempurna tersebut dan letakkan di luar akar kuadrat. Hasilnya belum sederhana, sekarang kita bisa ubah lagi. Posting pada rumus matematika smp ditag #contoh soal operasi aljabar pada bentuk akar, #contoh soal operasi bentuk akar, #penjumlahan akar aljabar, #penjumlahan akar didalam akar, #penjumlahan akar pangkat 3, #penjumlahan akar persamaan kuadrat, #penyederhanaan bentuk akar, #perkalian dan pembagian bentuk akar navigasi pos Simbol akar √ pertama kali diperkenalkan oleh seorang matematikawan asal jerman yang bernama christoff rudoff. Beberapa contoh bilangan irasional di dalam bentuk akar yakni √2, √6, √7, √11 dan lain sebagainya.
Penjumlahan akar dan pengurangan akar. Pada artikel kali ini, kita akan membahas cara menyelesaikan limit tak hingga pada bentuk akar yang di dalam akarnya berbentuk persamaan kuadrat. Bilangan dari bentuk akar adalah bilangan yang ada dalam tanda √ yang disebut sebagai tanda akar. Rumus di atas dapat digunakan untuk menyelesaikan soal soal yang ada. Video kali ini membahas mengenai bilangan akar kelas 9, kita akan belajar tentang operasi bentuk akar, penjumlahan bentuk akar, pengurangan bentuk akar.
Penjelasan Lengkap Rumus Akar Di Excel Dan Penggunaannya from www.atursaja.com Posting pada rumus matematika smp ditag #contoh soal operasi aljabar pada bentuk akar, #contoh soal operasi bentuk akar, #penjumlahan akar aljabar, #penjumlahan akar didalam akar, #penjumlahan akar pangkat 3, #penjumlahan akar persamaan kuadrat, #penyederhanaan bentuk akar, #perkalian dan pembagian bentuk akar navigasi pos Penjumlahan akar dan pengurangan akar. Contoh soal dan pembahasan tentang bentuk akar contoh soal dan pembahasan tentang merasionalkan bentuk akar contoh soal dan pembahasan tentang penjumlahan bentuk akar. L a t e x lim x →∼ a x 2 + b x + c − p x 2 + q x + r. Hasilnya belum sederhana, sekarang kita bisa ubah lagi. Operasi penjumlahan dan pengurangan bentuk akar. Oleh karena itu, kuadrat sempurna di dalam bentuk a pangkat tiga adalah a kuadrat. Excel memiliki banyak rumus atau function termasuk rumus akar di excel yang memudahkan kita dalam melakukan perhitungan.
L a t e x lim x →∼ a x 2 + b x + c − p x 2 + q x + r.
Akar gantung ini mempunyai fungsi yakni untuk menyerap uap air serta suatu gas yang ada di udara. Cara cepat menyelesaikan soal akar dalam akar tak hingga. 3√12 + 5√75 = 3√4×√3 + 5√25√3 = 6√3 + 25√3 = (6 + 25)√3 = 31√3 math is really easy if you want to learn about math. Jadi, operasi perkalian bentuk akar akan berlaku sifat: Untuk itu kita dapat memperoleh rumus penjumlahan bentuk akar dan rumus pengurangan bentuk akar seperti berikut: Operasi penjumlahan ataupun pengurangan pada bentuk akar dapat dilakukan dengan syarat apabila bentuk akarnya senama. Penjumlahan bentuk akar untuk mempermudah melakukan operasi penjumlahan bentuk akar, dapat digunakan sifat bentuk akar sebagai berikut : Bentuk akar senama merupakan bentuk akar yang mempunyai basis dan eksponen sama. Add to my workbooks (0) add to google classroom add to microsoft teams share through whatsapp: Untuk menyederhanakan suku di dalam akar kuadrat, coba faktorkan sehingga setidaknya ada satu suku yang merupakan angka kuadrat sempurna, misalnya 25 (5 x 5) atau 9 (3 x 3). Inilah hasil yang paling sederhana dari dari √10 × √2 = 2√5. Rumus di atas dapat digunakan untuk menyelesaikan soal soal yang ada. Bentuk sederhana dari akar matematika.
Share
Post a Comment
for "Penjumlahan Akar Didalam Akar - 3 Contoh Soal Penjumlahan Beberapa Akar Solusi Matematika - Rumus di atas dapat digunakan untuk menyelesaikan soal soal yang ada."
Post a Comment for "Penjumlahan Akar Didalam Akar - 3 Contoh Soal Penjumlahan Beberapa Akar Solusi Matematika - Rumus di atas dapat digunakan untuk menyelesaikan soal soal yang ada."